长为1米的细绳上系有小球,从A处放手后,小球第一次摆到最低点B处共移动了多少米?( )

作者: rantiku 人气: - 评论: 0
问题 长为1米的细绳上系有小球,从A处放手后,小球第一次摆到最低点B处共移动了多少米?( )
选项
答案 A
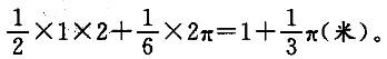
解析 如右图所示,C点和A点关于中间的虚线对称,小球从A点到C点做自由落体直线运动,从C点到B点做半径为1米的圆周运动。故小球移动的距离为

猜你喜欢

发表评论
更多 网友评论0 条评论)
暂无评论

访问排行

Copyright © 2012-2014 恰考网 Inc. 保留所有权利。 Powered by tikuer.com

页面耗时0.0424秒, 内存占用1.03 MB, Cache:redis,访问数据库19次