根据下列资料回答问题。2010年,我国进出口贸易总额为29727. 6亿美元,同比增长34. 7%。2010年,我国机电产品出口 9334. 3亿...

作者: rantiku 人气: - 评论: 0
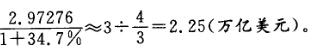
问题 根据下列资料回答问题。 2010年,我国进出口贸易总额为29727. 6亿美元,同比增长34. 7%。 2010年,我国机电产品出口 9334. 3亿美元,同比增加30. 9 %;高新技术产品出口4924. 1亿美元,同比增长30. 7%。船舶、汽车零部件出口保持较快增长,其中船舶出口同比增长44. 5%,汽车零部件出口同比增长44.1%。 2010年,机电产品进口额达到6603.1亿美元,同比增长34. 4%,高新技术产品进口额达到4126.7 亿美元,同比增长33. 2%。 2009年我国进出口贸易总额约为多少万亿美元?( ) A. 1. 6 B. 2.2 C. 2. 6 D. 3.0
选项
答案 B
解析 2009年,我国进出口贸易总额为

猜你喜欢

发表评论
更多 网友评论0 条评论)
暂无评论

访问排行

Copyright © 2012-2014 恰考网 Inc. 保留所有权利。 Powered by tikuer.com

页面耗时0.0491秒, 内存占用1.03 MB, Cache:redis,访问数据库20次