据林业专家分析,树叶在光合作用后产生的分泌物能够吸附空气中的一些悬浮颗粒物, 具有滞尘净化空气的作用。已知一片银杏树叶一年的平均滞尘量比一片国槐树叶一年的...

作者: rantiku 人气: - 评论: 0
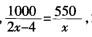
问题 据林业专家分析,树叶在光合作用后产生的分泌物能够吸附空气中的一些悬浮颗粒物, 具有滞尘净化空气的作用。已知一片银杏树叶一年的平均滞尘量比一片国槐树叶一年的平均 滞尘量的2倍少4毫克,若一年滞尘1000毫克所需的银杏树叶的片数与一年滞尘550毫克所 需的国槐树叶的片数相同,那么一片国槐树叶一年的平均滞尘量是: A.22毫克 B.%毫克 C.33毫克 D.40毫克
选项
答案 A
解析 设一片国槐树叶一年的平均滞尘量为,则一片银杏树叶一年的平均滞尘量为4。依题意,解得x=22毫克。

猜你喜欢

发表评论
更多 网友评论0 条评论)
暂无评论

访问排行

Copyright © 2012-2014 恰考网 Inc. 保留所有权利。 Powered by tikuer.com

页面耗时0.0657秒, 内存占用1.03 MB, Cache:redis,访问数据库17次