2012年8月上海市接待外国游客主要客源地中,同比增长量最多的国家是: A.菲律宾 B.印尼 C.意大利 D.新西兰

作者: rantiku 人气: - 评论: 0
问题 2012年8月上海市接待外国游客主要客源地中,同比增长量最多的国家是: A.菲律宾 B.印尼 C.意大利 D.新西兰
选项
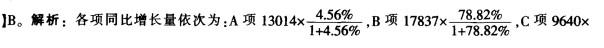
答案 B
解析

猜你喜欢

发表评论
更多 网友评论0 条评论)
暂无评论

访问排行

Copyright © 2012-2014 恰考网 Inc. 保留所有权利。 Powered by tikuer.com

页面耗时0.0346秒, 内存占用1.03 MB, Cache:redis,访问数据库19次