根据以下资料,回答问题。2011年,国土资源系统进一步完善“全国覆盖、全程监管、科技支撑、执法督察、社会监督” 的执法监管体系。全年发现违法用地行...

作者: rantiku 人气: - 评论: 0
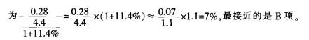
问题 根据以下资料,回答问题。 2011年,国土资源系统进一步完善“全国覆盖、全程监管、科技支撑、执法督察、社会监督” 的执法监管体系。 全年发现违法用地行为7.0万件,涉及土地5.0万公顷(耕地1.8万公顷),同比分别上升 5.8%、11.0%(耕地下降2.4%)。立案查处违法用地案件4.2万件,涉及土地4.4万公顷(耕地 1.5万公顷),同比分别上升2.5%、11.4%(耕地下降5.7%)。依法拆除违法构建物1289.8万平 方米,收缴土地3791.2公顷(耕地1064.7公顷),罚没款26.5亿元。 2010年,依法收缴土地面积占立案查处违法用地面积的比重为: A.21.3% B.7.1% C.11.6% D.14.5%
选项
答案 B
解析

猜你喜欢

发表评论
更多 网友评论0 条评论)
暂无评论

访问排行

Copyright © 2012-2014 恰考网 Inc. 保留所有权利。 Powered by tikuer.com

页面耗时0.0546秒, 内存占用1.03 MB, Cache:redis,访问数据库19次