2011年底,全国拥有水上运输船舶17.9万艘,比上年末增长0.5%;净载重量21264万吨, 增长17.9%;载客量100.84万客位,增长0.5%;集...

作者: rantiku 人气: - 评论: 0
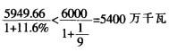
问题 2011年底,全国拥有水上运输船舶17.9万艘,比上年末增长0.5%;净载重量21264万吨, 增长17.9%;载客量100.84万客位,增长0.5%;集装箱箱位147.52万t eu,增长11.4%;船舶功 率5949.66万千瓦,增长11.6%。 根据资料,下列表述中正确的一项是: a.2006-2011年,我国水上运输船舶数量逐年减少 B.2011年,我国水上运输船舶载客量与2010年持平 c.2010年,我国水上运输船舶功率不到5500万千瓦 d.以上说法均错误
选项
答案 C
解析 A项,2011年我国水上运输船舶数量高于2010年,错误; B项,2011年,我国水上运输船舶载客量比上年同期增长0.5%,错误; C项,2010年,我国水上运输船舶功率为万千瓦,正确; 综上,选择C。

猜你喜欢

发表评论
更多 网友评论0 条评论)
暂无评论

访问排行

Copyright © 2012-2014 恰考网 Inc. 保留所有权利。 Powered by tikuer.com

页面耗时0.0315秒, 内存占用1.03 MB, Cache:redis,访问数据库19次