2011年,我国旅游业三大市场继续保持较快增长。全国旅游业总收人225万亿元,较2010 年增长20.8%。国内旅游人数达26.4亿人次,较2010年...

作者: rantiku 人气: - 评论: 0
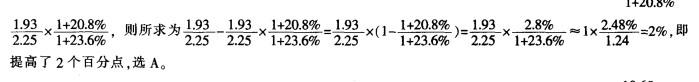
问题 2011年,我国旅游业三大市场继续保持较快增长。全国旅游业总收人225万亿元,较2010 年增长20.8%。 国内旅游人数达26.4亿人次,较2010年增长25.5% ;国内旅游收入1.93万亿元,较2010 年增长23.6%。1994年到2010年,我国居民出游人数及出游率增长较快,城镇居民旅游人次从 2.05亿人次,增长到10.65亿人次;农村居民旅游人次从3.19亿人次,增长到10.38亿人次。 2010年,我国人均旅游消费195.30元,较1994年增长了 206.29%。 入境旅游人数1.35亿人次,较2010年增长1%,1994年来华旅游人境人数仅4368万人次; 入境过夜旅游人数5758万人次,较2010年增长3.5%;入境旅游外汇收入484.6亿美元,较2010 年增长5.8%,1994年旅游外汇收入仅73亿美元。 出境旅游人数6900万人次,较2010年增长20.2%,比2000年增长了约470%。 2011年,我国国内旅游收入占全国旅游业总收入的比重比上年约: A.提高了 2个百分点 B.降低了 2个百分点 C.提高了 5个百分点 D.降低了 5个百分点
选项
答案 A
解析

猜你喜欢

发表评论
更多 网友评论0 条评论)
暂无评论

访问排行

Copyright © 2012-2014 恰考网 Inc. 保留所有权利。 Powered by tikuer.com

页面耗时0.0270秒, 内存占用1.03 MB, Cache:redis,访问数据库19次