中国汽车工业协会发布的2009年4月份中国汽车产销数据显示,在其他国家汽车销售进一步疲软的情况下,国内乘用车销量却持续上升,当月销量已达83.1万辆,比3...

作者: rantiku 人气: - 评论: 0
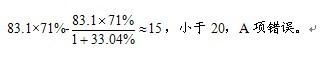
问题 中国汽车工业协会发布的2009年4月份中国汽车产销数据显示,在其他国家汽车销售进一步疲软的情况下,国内乘用车销量却持续上升,当月销量已达83.1万辆,比3月份增长7.59%,同比增长37.37%。 乘用车细分为基本型乘用车(轿车)、多功能车(MPV)运动型多用途车(SUV)和交叉型乘用车。其中,轿车销量比三月份增长8.3%,同比增长33.04%;MPV销量比3月份下降3.54%,同比下降4.05%;SUV销量比3月份增长19.27%,同比增长22.55%;交叉型乘用车销量比3月份增长3.62%,同比增长70.66%。轿车、MPV、SUV、和交叉型乘用车销量占4月份乘用车总销量的比重分别为71%、2%、6%和21%。 关于2009年4月份乘用车销量的描述不正确的是:( ) A.轿车销量比上年同期增加了20万辆以上 B.SUV意外车型销量占乘用车总销量比重比上月有所下降 C.MPV车型当时不受市场追捧 D.同比增长率最高的是交叉型乘用车二、
选项
答案 A
解析

猜你喜欢

发表评论
更多 网友评论0 条评论)
暂无评论

访问排行

Copyright © 2012-2014 恰考网 Inc. 保留所有权利。 Powered by tikuer.com

页面耗时0.0382秒, 内存占用1.04 MB, Cache:redis,访问数据库19次