作者: rantiku 人气: - 评论: 0
问题
选项
答案 B
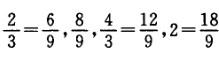
解析 本数列可转化为:,分母都为9,分子6,8,12,18为二级等差数列,故空缺项分子应为18+8 = 26,本题正确答案为选B。

相关内容:

猜你喜欢

发表评论
更多 网友评论0 条评论)
暂无评论

访问排行

Copyright © 2012-2014 恰考网 Inc. 保留所有权利。 Powered by tikuer.com

页面耗时0.0350秒, 内存占用1.01 MB, Cache:redis,访问数据库20次