作者: rantiku 人气: - 评论: 0
问题
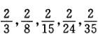
选项
答案 C
解析 将数列变形为,则分母做差为5,7,9,11,等差数列,下一项为13,因 此下一个数应为2/(35 + 13) =2/48=1/24。

相关内容:

猜你喜欢

发表评论
更多 网友评论0 条评论)
暂无评论

访问排行

Copyright © 2012-2014 恰考网 Inc. 保留所有权利。 Powered by tikuer.com

页面耗时0.0399秒, 内存占用1.01 MB, Cache:redis,访问数据库20次