A.7 B.5 C.2 D.0

作者: rantiku 人气: - 评论: 0
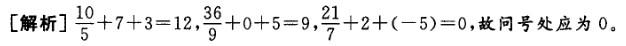
问题 A.7 B.5 C.2 D.0
选项
答案 D
解析

猜你喜欢

发表评论
更多 网友评论0 条评论)
暂无评论

访问排行

Copyright © 2012-2014 恰考网 Inc. 保留所有权利。 Powered by tikuer.com

页面耗时0.0339秒, 内存占用1.02 MB, Cache:redis,访问数据库14次