—个长方形周长是88厘米,如果它的宽增加25%,长减少1/7,周长不变,求这个长方形的面积。( )A. 448cm2 B. 468cm2 C. 480...

作者: rantiku 人气: - 评论: 0
问题 —个长方形周长是88厘米,如果它的宽增加25%,长减少1/7,周长不变,求这个长方形的面积。( ) A. 448cm2 B. 468cm2 C. 480cm2 D. 484cm2
选项
答案 A
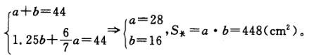
解析 设长方形长a,宽为b,则有:

猜你喜欢

发表评论
更多 网友评论0 条评论)
暂无评论

访问排行

Copyright © 2012-2014 恰考网 Inc. 保留所有权利。 Powered by tikuer.com

页面耗时0.0317秒, 内存占用1.03 MB, Cache:redis,访问数据库18次