一项工程由甲、乙两人合做12天完成。现由甲、乙合做4天后,余下工程先由甲独做10天后,再由乙独做5天,正好完成全部工程,求乙独做需要几天完成?( )A...

作者: rantiku 人气: - 评论: 0
问题 一项工程由甲、乙两人合做12天完成。现由甲、乙合做4天后,余下工程先由甲独做10天后,再由乙独做5天,正好完成全部工程,求乙独做需要几天完成?( ) A. 18 B. 20 C. 30 D. 36
选项
答案 C
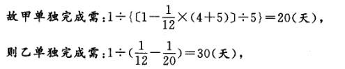
解析 此题中“余下的工程由甲先做10天后,再由乙独做5天”,即可按上述转化成: (1)余下的工程由甲、乙合做5天,甲单独做5天; (2)余下的工程假设由甲、乙合做9天,则超出的工作量应是甲(10 — 5)天完成的。 即甲独做要20天完成,乙要30天。

猜你喜欢

发表评论
更多 网友评论0 条评论)
暂无评论

访问排行

Copyright © 2012-2014 恰考网 Inc. 保留所有权利。 Powered by tikuer.com

页面耗时0.0311秒, 内存占用1.03 MB, Cache:redis,访问数据库19次