一商品的进价比上月低了5%,但超市仍按上月售价销售,其利润率提髙了6个百分点,则超市上月销售该商品的利润率为( )。A. 12% B. 13% C. ...

作者: rantiku 人气: - 评论: 0
问题 一商品的进价比上月低了5%,但超市仍按上月售价销售,其利润率提髙了6个百分点,则超市上月销售该商品的利润率为( )。 A. 12% B. 13% C. 14% D. 15%
选项
答案 C
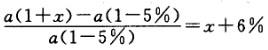
解析 解法一:设上月的进价为a,其利润率为x,则,解得 x=14%。 解法二:设上月的进价为100,售价为x,根据題意,可以列出方程x/95-x/100=6%, 解出x=114,那么上月的利润率为(114-100)/100X100% = 14%。

猜你喜欢

发表评论
更多 网友评论0 条评论)
暂无评论

访问排行

Copyright © 2012-2014 恰考网 Inc. 保留所有权利。 Powered by tikuer.com

页面耗时0.0613秒, 内存占用1.03 MB, Cache:redis,访问数据库19次