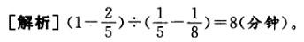
一水池安有进水管、出水管各一根,单开进水管5分钟注满水池,单开出水管8分钟把一池水放光,现池内的水占容积的2/5,同时打开两管还要几分钟注满全池?( )
...
相关内容:水池,水管,一根,单开进,5分钟,单开出,8分钟,池水,现池,水占,容积,同时,两管,几分钟,全池
- 两极冰川融化,海水吞没大陆,城市瞬间冰冻……这是气候灾难大片《后天》给我们描述的地球的“后天”。影片在给人以强烈视觉冲击的同时,更多的是带来人类对全球气候...
- 1.下面是某网站最近发表的谈关于公共文化教育的文字: 当前,在经济高速发展的同时,许多城市出现了一系列问题,城市生命线似乎脆弱得不堪一击。一场不太大...
- 1.下面是某网站最近发表的谈关于公共文化教育的文字: 当前,在经济高速发展的同时,许多城市出现了一系列问题,城市生命线似乎脆弱得不堪一击。一场不太大...
- 1. 山西是我国重要的煤炭工业生产基地,承担着保证国家能源供应,保证矿工安全,保护资源和环境的重任。在长期为国家经济发展做出贡献的同时,由于历史的原因,形...
- 1. 山西是我国重要的煤炭工业生产基地,承担着保证国家能源供应,保证矿工安全,保护资源和环境的重任。在长期为国家经济发展做出贡献的同时,由于历史的原因,形...