—水池内水管每分钟注水量相等。现在打开其中若干根,经过预定时间的1/3,再把打开的水管增加1倍,就能按预定时间注满水池。如果开始就打开10根水管,中间不再...

作者: rantiku 人气: - 评论: 0
问题 —水池内水管每分钟注水量相等。现在打开其中若干根,经过预定时间的1/3,再把打开的水管增加1倍,就能按预定时间注满水池。如果开始就打开10根水管,中间不再增开水管也能按预定时间注满水,开始打开了几根水管?( ) A. 9 B. 8 C. 7 D. 6
选项
答案 D
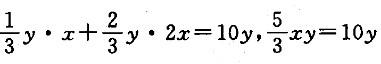
解析 设开始打开了x根水管,预定时间为y,則,x=6(根)。

猜你喜欢

发表评论
更多 网友评论0 条评论)
暂无评论

访问排行

Copyright © 2012-2014 恰考网 Inc. 保留所有权利。 Powered by tikuer.com

页面耗时0.0356秒, 内存占用1.03 MB, Cache:redis,访问数据库19次