为反映我国工业企业自主创新能力现状,了解企业开展创新活动的政策环境以及企业家对创新的认知程度,国家统计局近期对我国工业企业的创新情况进行了一次专项调査。 ...

作者: rantiku 人气: - 评论: 0
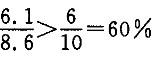
问题 为反映我国工业企业自主创新能力现状,了解企业开展创新活动的政策环境以及企业家对创新的认知程度,国家统计局近期对我国工业企业的创新情况进行了一次专项调査。 调査结果显示,2009-2011年间,全国开展创新活动的规模以上工业企业有8. 6万家,占全部规模以上工业企业的28. 8%。其中大型企业中开展创新活动的企业所占比重为83. 5%,中型企业为55. 9%,小型企业为25.2%。 分行业看,开展创新活动的企业较为密集的行业主要分布在医药制造业(63. 8%),仪器仪表及文化、办公用机械制造业(60. 9%),专用设备制造业(46.6%),通信设备、计算机及其他电子设备制造业(46. 5%)等高技术或中髙技术行业。传统制造业及非制造业工业开展创新活动的企业所占比重相对较低,如纺织业为24. 2%,采矿业为12. 2%,电力、燃气及水的生产、供应业为15. 7%。 分地区看,东、中、西部地区开展创新活动的企业占本地区规模以上工业企业的比重分别为28%、31. 6%和9. 6%,东部地区虽然低于中部地区,但东部地区开展创新活动企业的数量达到6.1万家。 创新经费来源情况可以从一个侧面所映政府支持企业创新的政策环境。调查结果表明,在全部规模以上工业企业创新活动经费中,企业资金占82. 8%,金融机构贷款占9. 3%,政府资金占3. 4%,国外资金和其他资金分别占0. 8 %和3. 7 %。 调査结果表明,2011年我国规模以上工业企业实现新产品销售收入39606. 1亿元,占当年主营业务收入的比重为12. 7%;新产品出口额为8686. 8亿元,占当年全部工业制成品出口额的11. 9%。 分企业规模看,大型、中型和小型企业分别实现新产品销售收入21002. 4亿元、10404. 5亿元和 8199.1亿元,占主营业务收入的比重分别为18. 6%,11.1%和7.1%。 东部地区开展创新活动企业的数量达6.1万家,占全国开展创新活动规模以上工业企业的( )。 A. 9. 6% B. 31.6% C. 28% D. 70.9%
选项
答案 D
解析 根据资料第二段,2009-2011年间,全国开展创新活动的规模以上工业企业有8. 6万家,则所求比重为,只有D符合。故本题选择D项。

猜你喜欢

发表评论
更多 网友评论0 条评论)
暂无评论

访问排行

Copyright © 2012-2014 恰考网 Inc. 保留所有权利。 Powered by tikuer.com

页面耗时0.0253秒, 内存占用1.04 MB, Cache:redis,访问数据库17次