2009年,在江苏省委、省政府的正确领导下,全省深人贯彻科学发展观,认真落实中央决策部署和一系列政策措施,积极应对国际金融危机带来的严峻挑战和严重困难,统...

作者: rantiku 人气: - 评论: 0
问题 2009年,在江苏省委、省政府的正确领导下,全省深人贯彻科学发展观,认真落实中央决策部署和一系列政策措施,积极应对国际金融危机带来的严峻挑战和严重困难,统筹做好保增长保民生保稳定各项工作,经济企稳向好态势不断增强,结构调整和自主创新取得重大进展,发展质量稳步提髙,民生继续得到改善,改革开放深入推进,各项社会事业全面进步,较好地完成了年初确定的各项目标任务。 全省实现生产总值34061. 2亿元,比上年增长12. 4%。先进制造业水平提升,全年实现髙新技术产业产值21987. 0亿元,增长19. 5%,占规模以上工业比重达30. 0%,比上年提高1. 5个百分点。服务业特别是现代服务业增长加快、比重上升,实现服务业增加值13555. 6亿元,比上年增长13. 6 %,占GDP比重39. 8 %,提高1.1个百分点。新兴行业加快发展,新能源、新医药、新材料、环保产业产值分别增长66. 0%、30.0%、 22.0%和21.0%,软件业销售收入增长35. 7%,服务外包执行总额增长177. 0%。非公有制经济进一步发展,实现增加值在地区生产总值中的份额达到64.1%,其中私营个体经济比重为39.4%,分别提高0.9个和2.3个百分点。城市化和城市现代化水平稳步提高,年末城市化率达55.6%,比上年提高1.3个百分点。区域发展格局进一步改善,加快推进苏南转型升级,巩固苏中、苏北快速发展局面,苏中、苏北对全省经济增长的贡献份额达到42. 3%,提高2. 9个百分点,全面实施沿海地区发展规划。 节能减排取得明显成效。大力推进资源节约型、环境友好型社会建设,实施重点节能减排项目,淘汰落后产能,深入开展化工生产企业专项整治。全年共实施1121个减排项目,关闭小火电组687. 6万千瓦,淘汰落后炼钢铁能力792. 2万吨,分别完成“十一五”总目标的224. 3%,51. 1%和77. 4%。预计超额完成单位GDP能耗降低率的年度目标。化学需氧量、二氧化硫排放量分别削减3. 1%和4. 1%,累计完 成“十一五”减排总目标的98. 93%和121. 1%。 2009年该省全年实施的减排项目比“十一五”总目标超额完成了()。 A. 500 个 B. 621 个 C. 786 个 D. 901 个
选项
答案 B
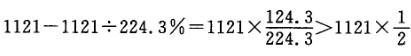
解析 由第三段“全年共实施1121个减排项目……完成‘十一五’总目标的224.3%”可知所求为:,结合选项估算可知本题选B。

猜你喜欢

发表评论
更多 网友评论0 条评论)
暂无评论

访问排行

Copyright © 2012-2014 恰考网 Inc. 保留所有权利。 Powered by tikuer.com

页面耗时0.0325秒, 内存占用1.04 MB, Cache:redis,访问数据库19次