该市场供给量较上一天增长幅度最大的一天是( )。A.星期二 B.星期四 C.星期日 D.星期五

作者: rantiku 人气: - 评论: 0
问题 该市场供给量较上一天增长幅度最大的一天是( )。 A.星期二 B.星期四 C.星期日 D.星期五
选项
答案 B
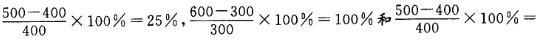
解析 由图可知,该市场供给量较上一天有所上涨的只有三天,分别是星期二、星期四和星期日,上涨的幅度分别是:25%,故增幅最大的一天是星期四,本题正确答案为B。

猜你喜欢

发表评论
更多 网友评论0 条评论)
暂无评论

访问排行

Copyright © 2012-2014 恰考网 Inc. 保留所有权利。 Powered by tikuer.com

页面耗时0.0288秒, 内存占用1.03 MB, Cache:redis,访问数据库19次