根据所给资料,下列说法中正确的一项是:A.2005--2013年,南非各主要工业产品销售额均同比增长的有4个年份 B.2009年,南非各主要工业产品...

作者: rantiku 人气: - 评论: 0
问题 根据所给资料,下列说法中正确的一项是:
选项 A.2005--2013年,南非各主要工业产品销售额均同比增长的有4个年份 B.2009年,南非各主要工业产品销售额均同比下降 C.2013年,汽车销售额与家用电器销售额之比比2005年扩大了 D.2005--2006年,南非各主要工业产品中,钢铁产品销售额始终最大
答案 C
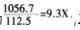
解析 A项,由表格数据可知,2005--2013年,南非各主要工业产品销售额均同比增长的只有2006、2007、2013年3个年份,错误;B项,由表格2008、2009年数据可知,2009年,南非鞋销售额同比增长,错误;C项,计算较复杂,先跳过;D项,由表格第三、四列可知,D项错误。故答案为C。验证C项:由表格第三列和最后一列可知,2013年汽车销售额与家用电器销售额之比为 2005年之比为 比较可知,正确。

猜你喜欢

发表评论
更多 网友评论0 条评论)
暂无评论

访问排行

Copyright © 2012-2014 恰考网 Inc. 保留所有权利。 Powered by tikuer.com

页面耗时0.0333秒, 内存占用1.03 MB, Cache:redis,访问数据库16次