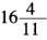
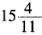
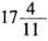
现在是9时整点,经过多少分钟,时针与分针第一次的夹角是180度?( )A. B. C. D.15

作者: tihaiku 人气: - 评论: 0
问题 现在是9时整点,经过多少分钟,时针与分针第一次的夹角是180度?( )
选项 A. B. C. D.15
答案 B
解析

相关内容:整点,时针,分针,第一次,夹角,180度

猜你喜欢

发表评论
更多 网友评论0 条评论)
暂无评论

访问排行

Copyright © 2012-2014 恰考网 Inc. 保留所有权利。 Powered by tikuer.com

页面耗时0.0430秒, 内存占用1.04 MB, Cache:redis,访问数据库20次