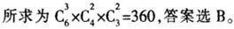
一位客人在自助餐厅就餐时,他准备在6种肉类中挑选3种,4种蔬菜中挑选2种,从3种点心中挑选2种。若不考虑食物的挑选次序,则他可以有多少种不同选择方法?( ...

作者: tihaiku 人气: - 评论: 0
问题 一位客人在自助餐厅就餐时,他准备在6种肉类中挑选3种,4种蔬菜中挑选2种,从3种点心中挑选2种。若不考虑食物的挑选次序,则他可以有多少种不同选择方法?( )
选项 A.240 B.360 C.480 D.720
答案 B
解析

相关内容:客人,餐厅,肉类,蔬菜,心中,食物,次序,方法

猜你喜欢

发表评论
更多 网友评论0 条评论)
暂无评论

访问排行

Copyright © 2012-2014 恰考网 Inc. 保留所有权利。 Powered by tikuer.com

页面耗时0.0422秒, 内存占用1.05 MB, Cache:redis,访问数据库20次