7月份,房地产开发景气指数(简称“国房景气指数”)为94. 57,比上月回落0. 14点。2011年1—7月,西部地区房地产开发投资在...

作者: rantiku 人气: - 评论: 0
问题 7月份,房地产开发景气指数(简称“国房景气指数”)为94. 57,比上月回落0. 14点。 2011年1—7月,西部地区房地产开发投资在住宅方面的资金占全国房地产开发总投资额的比重是( )。 A. 12.85% B. 14. 82% C. 16.40% D. 18.73%
选项
答案 B
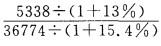
解析 2011年1—7月,西部地区房地产开发投资在住宅方面的资金占全国房地产开发总投资额的比重为×100%≈14.82%。故选B。

猜你喜欢

发表评论
更多 网友评论0 条评论)
暂无评论
错误啦!

错误信息

  • 消息: [程序异常] : MISCONF Redis is configured to save RDB snapshots, but it's currently unable to persist to disk. Commands that may modify the data set are disabled, because this instance is configured to report errors during writes if RDB snapshotting fails (stop-writes-on-bgsave-error option). Please check the Redis logs for details about the RDB error.
  • 文件: /twcms/kongphp/cache/cache_redis.class.php
  • 位置: 第 85 行
    <?php echo 'KongPHP, Road to Jane.'; ?>