1952年,我国国内生产总值(GDP)仅为300亿美元。1960年,达到614亿美元。之后,每年 的GDP总量呈稳步小幅上升态势。1972年突破1000亿...

作者: rantiku 人气: - 评论: 0
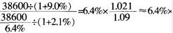
问题 1952年,我国国内生产总值(GDP)仅为300亿美元。1960年,达到614亿美元。之后,每年 的GDP总量呈稳步小幅上升态势。1972年突破1000亿美元,之后用了 10年的时间达到2021 亿美元(1982年)。从此以后,我国GDP总量逐年稳步大幅增加,2008年达到38600亿美元。 1960年,我国GDP占世界的比重为4.6%,1987年曾一度跌至1.6%,此后逐年上升,从2000年 的3.7%提高到2008年的6.4%。 注:俄罗斯为1990至2008年增长率。 2007年,我国GDP占世界的比重约为()。 A.6.3% B.6.0% C.5.7% D.5.4%
选项
答案 B
解析 由材料可知,2008年我国GDP为38600亿美元,增长9.0%,占世界的比重为6.4%;世界GDP平均增长水平为2.1%,则2007年我GDP占世界的比重约为

猜你喜欢

发表评论
更多 网友评论0 条评论)
暂无评论

访问排行

Copyright © 2012-2014 恰考网 Inc. 保留所有权利。 Powered by tikuer.com

页面耗时0.0363秒, 内存占用1.03 MB, Cache:redis,访问数据库20次