若函数f(x,y)在闭区域D上连续,下列关于极值点的陈述中正确的是:A.f(x

作者: rantiku 人气: - 评论: 0
问题 若函数f(x,y)在闭区域D上连续,下列关于极值点的陈述中正确的是:
选项 A.f(x
答案 C
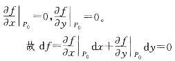
解析 提示 在题目中只给出f(x,y)在闭区域D上连续这一条件,并未讲函数f(x,y)在P0点是否具有一阶、二阶偏导,而选项A、B判定中均利用了这个未给的条件,因而选项A、B不成立。选项D中f(x,y)的最大值点可以在D的边界曲线上取得,因而不一定是f(x,y)的极大值点,故选项D不成立。 在选项C中,给出p0是可微函数的极值点这个条件,因而f(x,y)在P0偏导存在,且

猜你喜欢

发表评论
更多 网友评论0 条评论)
暂无评论

Copyright © 2012-2014 恰考网 Inc. 保留所有权利。 Powered by tikuer.com

页面耗时0.0458秒, 内存占用1.03 MB, Cache:redis,访问数据库19次