函数y= (5-x)x(2/3)的极值可疑点的个数是:A.0 B. 1 C. 2 D. 3

作者: rantiku 人气: - 评论: 0
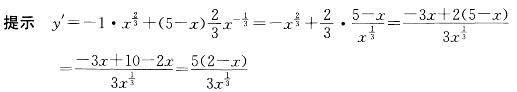
问题 函数y= (5-x)x(2/3)的极值可疑点的个数是:
选项 A.0 B. 1 C. 2 D. 3
答案 C
解析 可知x=0,x=2为极值可疑点。所以极值可疑点的个数为2。

猜你喜欢

发表评论
更多 网友评论0 条评论)
暂无评论

Copyright © 2012-2014 恰考网 Inc. 保留所有权利。 Powered by tikuer.com

页面耗时0.0615秒, 内存占用1.01 MB, Cache:redis,访问数据库20次