离散型随机变量X的分布为P(X=k)=cλk (k=0,1,2...),则不成立的是:

作者: rantiku 人气: - 评论: 0
问题 离散型随机变量X的分布为P(X=k)=cλk (k=0,1,2...),则不成立的是:
选项
答案 D
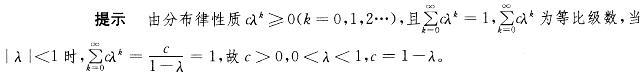
解析

猜你喜欢

发表评论
更多 网友评论0 条评论)
暂无评论

Copyright © 2012-2014 恰考网 Inc. 保留所有权利。 Powered by tikuer.com

页面耗时0.0416秒, 内存占用1.01 MB, Cache:redis,访问数据库18次