设随机变量X的概率密度为,则有( )。A、E(X)=0,D(X)=1 B、E(X)=0,D(X)=2 C、E(X)=0,D(X)=3 D、E(...

作者: rantiku 人气: - 评论: 0
问题 设随机变量X的概率密度为,则有( )。
选项 A、E(X)=0,D(X)=1 B、E(X)=0,D(X)=2 C、E(X)=0,D(X)=3 D、E(X)=1,D(X)=2
答案 B
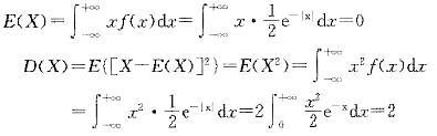
解析

猜你喜欢

发表评论
更多 网友评论0 条评论)
暂无评论

Copyright © 2012-2014 恰考网 Inc. 保留所有权利。 Powered by tikuer.com

页面耗时0.0451秒, 内存占用1.03 MB, Cache:redis,访问数据库20次