A. 6 B. 5 C. 4 D. 14

作者: rantiku 人气: - 评论: 0
问题
选项 A. 6 B. 5 C. 4 D. 14
答案 A
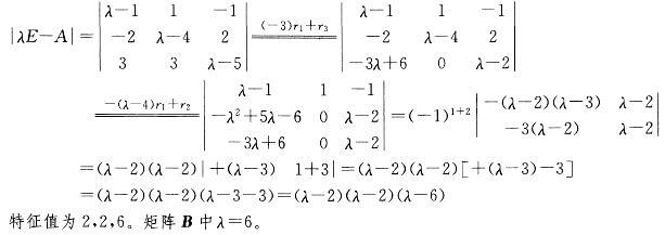
解析 提示 矩阵相似有相同的特征多项式,有相同的特征值。

猜你喜欢

发表评论
更多 网友评论0 条评论)
暂无评论

Copyright © 2012-2014 恰考网 Inc. 保留所有权利。 Powered by tikuer.com

页面耗时0.0355秒, 内存占用1.01 MB, Cache:redis,访问数据库19次