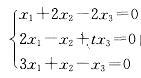
设B是三阶非零矩阵,已知B的每一列都是方程组的解,则t等于A.0 B.2 C.1 D.-1

作者: rantiku 人气: - 评论: 0
问题 设B是三阶非零矩阵,已知B的每一列都是方程组的解,则t等于
选项 A.0 B.2 C.1 D.-1
答案 D
解析 提示:已知条件B是三阶非零矩阵,而B的每一列都是方程组的解,可知齐次方程Ax=0有非零解。所以齐次方程组的系数行列式为0,式,t=1。

猜你喜欢

发表评论
更多 网友评论0 条评论)
暂无评论

Copyright © 2012-2014 恰考网 Inc. 保留所有权利。 Powered by tikuer.com

页面耗时0.0423秒, 内存占用1.01 MB, Cache:redis,访问数据库19次