A.-2或3 B. 2 或 3 C. 2 或-3 D.-2 或-3

作者: rantiku 人气: - 评论: 0
问题
选项 A.-2或3 B. 2 或 3 C. 2 或-3 D.-2 或-3
答案 A
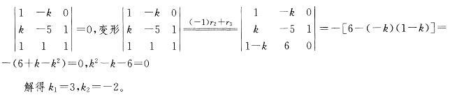
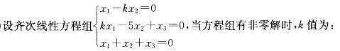
解析 提示 齐次线性方程组,当变量的个数与方程的个数相同时,方程组有非零解的 充要条件是系数行列式为零。即

猜你喜欢

发表评论
更多 网友评论0 条评论)
暂无评论

Copyright © 2012-2014 恰考网 Inc. 保留所有权利。 Powered by tikuer.com

页面耗时0.0780秒, 内存占用1.03 MB, Cache:redis,访问数据库20次