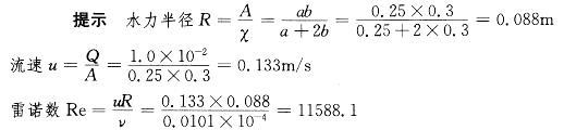
实验用矩形明渠,底宽为25cm,当通过流量为1.0X10-2 m3/s时,渠中水深为30cm,测知水温为20C(v=0.0101cm2/s),则渠中水流形...

作者: rantiku 人气: - 评论: 0
问题 实验用矩形明渠,底宽为25cm,当通过流量为1.0X10-2 m3/s时,渠中水深为30cm,测知水温为20C(v=0.0101cm2/s),则渠中水流形态和判别的依据分别是:
选项 A.层流,Re=11588>575 B.层流,Re=11588>2000 C.紊流,Re=11588>2000 D.紊流,Re=11588>575
答案 D
解析 注意:用水力半径计算时,雷诺数标准为575。

猜你喜欢

发表评论
更多 网友评论0 条评论)
暂无评论

访问排行

Copyright © 2012-2014 恰考网 Inc. 保留所有权利。 Powered by tikuer.com

页面耗时0.0508秒, 内存占用1.03 MB, Cache:redis,访问数据库19次