微分方程xy'-ylny=0满足y(1)=1的特解是:A.y=ex B.y=ex C.y=e2x D.y=lnx

作者: rantiku 人气: - 评论: 0
问题 微分方程xy'-ylny=0满足y(1)=1的特解是:
选项 A.y=ex B.y=ex C.y=e2x D.y=lnx
答案 B
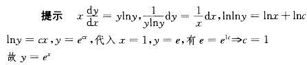
解析

猜你喜欢

发表评论
更多 网友评论0 条评论)
暂无评论

Copyright © 2012-2014 恰考网 Inc. 保留所有权利。 Powered by tikuer.com

页面耗时0.0406秒, 内存占用1.01 MB, Cache:redis,访问数据库20次