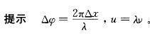
在波的传播方向上,有相距为3m的两质元,两者的相位差为π/6,若波的周期为4S,则此波的波长和波速分别为:A. 36m 和 6m/s B. 36m 和...

作者: rantiku 人气: - 评论: 0
问题 在波的传播方向上,有相距为3m的两质元,两者的相位差为π/6,若波的周期为4S,则此波的波长和波速分别为:
选项 A. 36m 和 6m/s B. 36m 和 9m/s C. 12m 和 6m/s D. 12m 和 9m/s
答案 B
解析

猜你喜欢

发表评论
更多 网友评论0 条评论)
暂无评论

Copyright © 2012-2014 恰考网 Inc. 保留所有权利。 Powered by tikuer.com

页面耗时0.0666秒, 内存占用1.03 MB, Cache:redis,访问数据库19次