在单缝夫琅禾费衍射实验中,波长为λ的单色光垂直入射到单缝上,对应于衍射角为30的方向上,若单缝处波阵面可分成3个半波带。则缝宽a等于:A.λ B. 1...

作者: rantiku 人气: - 评论: 0
问题 在单缝夫琅禾费衍射实验中,波长为λ的单色光垂直入射到单缝上,对应于衍射角为30的方向上,若单缝处波阵面可分成3个半波带。则缝宽a等于:
选项 A.λ B. 1.5λ C. 2λ D. 3λ
答案 D
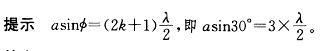
解析

猜你喜欢

发表评论
更多 网友评论0 条评论)
暂无评论

Copyright © 2012-2014 恰考网 Inc. 保留所有权利。 Powered by tikuer.com

页面耗时0.0401秒, 内存占用1.03 MB, Cache:redis,访问数据库20次