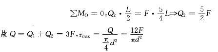
钢板用两个铆钉固定在支座上,铆钉直径为d,在图示载荷作用下,铆钉的最大切应力是:

作者: rantiku 人气: - 评论: 0
问题 钢板用两个铆钉固定在支座上,铆钉直径为d,在图示载荷作用下,铆钉的最大切应力是:
选项
答案 C
解析 提示 把F力平移到铆钉群中心O,并附加一个力偶m=F*5/4L,在铆钉上将产生剪力Q1和Q2,其中Q1=F/2,而Q2计算方法如下。

猜你喜欢

发表评论
更多 网友评论0 条评论)
暂无评论

Copyright © 2012-2014 恰考网 Inc. 保留所有权利。 Powered by tikuer.com

页面耗时0.0365秒, 内存占用1.01 MB, Cache:redis,访问数据库19次