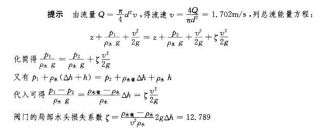
如图所示,输水管道中设有阀门,已知管道直径为50mm,通过流量为3.34L/s,水银压差计读值△h=150mm,水的密度ρ=1000kg/m3,水银的密度...

作者: rantiku 人气: - 评论: 0
问题 如图所示,输水管道中设有阀门,已知管道直径为50mm,通过流量为3.34L/s,水银压差计读值△h=150mm,水的密度ρ=1000kg/m3,水银的密度ρ'=13600kg/m3,沿程水头损失不计,阀门的局部水头损失系数ξ是:
选项 A.12.8 B.1.28 C.13.8 D.1.38 {图}
答案 A
解析

猜你喜欢

发表评论
更多 网友评论0 条评论)
暂无评论

访问排行

Copyright © 2012-2014 恰考网 Inc. 保留所有权利。 Powered by tikuer.com

页面耗时0.0809秒, 内存占用1.03 MB, Cache:redis,访问数据库20次