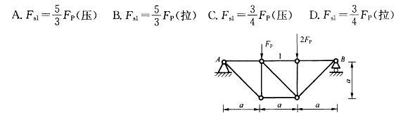
图示平面桁架的尺寸与荷载均已知。其中,杆1的内力Fs1为:

作者: rantiku 人气: - 评论: 0
问题 图示平面桁架的尺寸与荷载均已知。其中,杆1的内力Fs1为:
选项
答案 A
解析 提示 先取整体为研究对象计算出B处约束力的大小FB,再用截面将桁架从1杆处铅垂截开取右半部分,列平衡方程,可得杆1受压其内力与FB大小相等。

猜你喜欢

发表评论
更多 网友评论0 条评论)
暂无评论

Copyright © 2012-2014 恰考网 Inc. 保留所有权利。 Powered by tikuer.com

页面耗时0.0307秒, 内存占用1.03 MB, Cache:redis,访问数据库19次