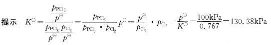
反应 此温度下平衡时,如p(PCl5)=p(PCl3),则p(Cl2)等于:A. 130. 38kPa B. 0. 767kPa C. 760 7...

作者: rantiku 人气: - 评论: 0
问题 反应 此温度下平衡时,如p(PCl5)=p(PCl3),则p(Cl2)等于:
选项 A. 130. 38kPa B. 0. 767kPa C. 760 7kPa D.7.67X10-3kPa
答案 A
解析

猜你喜欢

发表评论
更多 网友评论0 条评论)
暂无评论

Copyright © 2012-2014 恰考网 Inc. 保留所有权利。 Powered by tikuer.com

页面耗时0.0278秒, 内存占用1.03 MB, Cache:redis,访问数据库17次