已知图示杆件的许用拉应力[σ] = 120MPa,许用剪应力[τ] = 90MPa,许用挤压应力[σbs]=240MPa,则杆件的许用拉力[P]等于:A....

作者: rantiku 人气: - 评论: 0
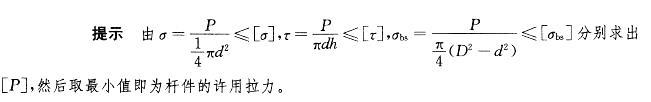
问题 已知图示杆件的许用拉应力[σ] = 120MPa,许用剪应力[τ] = 90MPa,许用挤压应力[σbs]=240MPa,则杆件的许用拉力[P]等于:
选项 A. 18. 8kN B. 67. 86kN C. 117. 6kN D. 37. 7kN {图}
答案 D
解析

猜你喜欢

发表评论
更多 网友评论0 条评论)
暂无评论

Copyright © 2012-2014 恰考网 Inc. 保留所有权利。 Powered by tikuer.com

页面耗时0.0418秒, 内存占用1.01 MB, Cache:redis,访问数据库20次