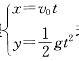
点在铅垂平面Oxy内的运行方程式中,t为时间,v0,g为常数。点的运动轨迹应为:A.直线 B.圆 C.抛物线 D.直线与圆连接

作者: rantiku 人气: - 评论: 0
问题 点在铅垂平面Oxy内的运行方程式中,t为时间,v0,g为常数。点的运动轨迹应为:
选项 A.直线 B.圆 C.抛物线 D.直线与圆连接
答案 C
解析 提示 将运动方程中的参数t消去即可。

猜你喜欢

发表评论
更多 网友评论0 条评论)
暂无评论

Copyright © 2012-2014 恰考网 Inc. 保留所有权利。 Powered by tikuer.com

页面耗时0.0432秒, 内存占用1.03 MB, Cache:redis,访问数据库19次