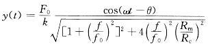
某单自由度隔振系统在周期性铅垂向外力作用下的位移公式可以用式表示,式中f是:A.隔振器的阻尼系数 B.隔振器的临界阻尼 C.激发外力频率 D....

作者: rantiku 人气: - 评论: 0
问题 某单自由度隔振系统在周期性铅垂向外力作用下的位移公式可以用式表示,式中f是:
选项 A.隔振器的阻尼系数 B.隔振器的临界阻尼 C.激发外力频率 D.系统共振频率
答案 C
解析 提示 考查单自由度系统的振动。

猜你喜欢

发表评论
更多 网友评论0 条评论)
暂无评论

访问排行

Copyright © 2012-2014 恰考网 Inc. 保留所有权利。 Powered by tikuer.com

页面耗时0.0339秒, 内存占用1.03 MB, Cache:redis,访问数据库15次