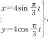
已知点P在Oxy平面内的运动方程,则点的运动为:A.直线运动 B.圆周运动 C.椭圆运动 D.不能确定

作者: rantiku 人气: - 评论: 0
问题 已知点P在Oxy平面内的运动方程,则点的运动为:
选项 A.直线运动 B.圆周运动 C.椭圆运动 D.不能确定
答案 B
解析 提示 将两个运动方程平方相加。

猜你喜欢

发表评论
更多 网友评论0 条评论)
暂无评论

Copyright © 2012-2014 恰考网 Inc. 保留所有权利。 Powered by tikuer.com

页面耗时0.0573秒, 内存占用1.03 MB, Cache:redis,访问数据库19次