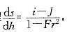
根据明渠恒定非均匀渐变流的基本微分方程,在b区( )。

作者: rantiku 人气: - 评论: 0
问题 根据明渠恒定非均匀渐变流的基本微分方程,在b区( )。
选项
答案 C
解析 首先应牢记或能够推演出明渠恒定非均匀渐变流的基本微分方程 其次应了解a,b,c三个区(有的书也称作1,2,3区)的定义。底坡、临界水深hc和正常水深h0将流动区域分为三个区,a区是最上面,b区在临界水深hc和正常水深h0之间,c在最下面。根据坡度和Fr即可判断出水深变化规律 也可以记住a区壅水,b区降水,c区壅水

猜你喜欢

发表评论
更多 网友评论0 条评论)
暂无评论

访问排行

Copyright © 2012-2014 恰考网 Inc. 保留所有权利。 Powered by tikuer.com

页面耗时0.0319秒, 内存占用1.03 MB, Cache:redis,访问数据库18次