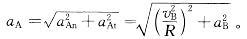
绳子的一端绕在滑轮上,另一端与置于水平面上的物块B相连,若物块B的运动方程为x=kt2,其中,k为常数,轮子半径为R。则轮缘上A点的加速度的大小为:

作者: rantiku 人气: - 评论: 0
问题 绳子的一端绕在滑轮上,另一端与置于水平面上的物块B相连,若物块B的运动方程为x=kt2,其中,k为常数,轮子半径为R。则轮缘上
选项 A点的加速度的大小为:
答案 D
解析 提示 轮缘点A的速度与物块B的速度相同;轮缘点A的切向加速度与物块B的加速度相同,即

猜你喜欢

发表评论
更多 网友评论0 条评论)
暂无评论

Copyright © 2012-2014 恰考网 Inc. 保留所有权利。 Powered by tikuer.com

页面耗时0.0461秒, 内存占用1.03 MB, Cache:redis,访问数据库20次