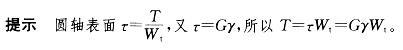
图示圆轴抗扭截面模量为Wt,剪切模量为G,扭转变形后,圆轴表面A点处截取的单元体互相垂直的相邻边线改变了y角,如图所示。圆轴承受的扭矩T为:

作者: rantiku 人气: - 评论: 0
问题 图示圆轴抗扭截面模量为Wt,剪切模量为G,扭转变形后,圆轴表面
选项 A点处截取的单元体互相垂直的相邻边线改变了y角,如图所示。圆轴承受的扭矩T为:
答案 A
解析

猜你喜欢

发表评论
更多 网友评论0 条评论)
暂无评论

Copyright © 2012-2014 恰考网 Inc. 保留所有权利。 Powered by tikuer.com

页面耗时0.0333秒, 内存占用1.03 MB, Cache:redis,访问数据库17次