同心球形电容器,两极的半径分别为R1和R2(R2>R1),中间充满相对介电系数为εr的均匀介质,则两极间场强的分布曲线为下列哪个图所示?

作者: rantiku 人气: - 评论: 0
问题 同心球形电容器,两极的半径分别为R1和R2(R2>R1),中间充满相对介电系数为εr的均匀介质,则两极间场强的分布曲线为下列哪个图所示?
选项
答案 A
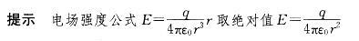
解析

猜你喜欢

发表评论
更多 网友评论0 条评论)
暂无评论

Copyright © 2012-2014 恰考网 Inc. 保留所有权利。 Powered by tikuer.com

页面耗时0.0630秒, 内存占用1.03 MB, Cache:redis,访问数据库20次