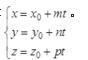
1. 设直线L的方程为 则L的参数方程是(  )。{图1}

作者: rantiku 人气: - 评论: 0
问题 1. 设直线L的方程为 则L的参数方程是(  )。
选项 {图1}
答案 A
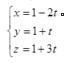
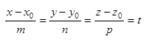
解析 过点M0(x0,y0,z0)的直线,s=(m,n,p)为其一个方向向量,若设参数t如下: 则其参数式方程可写作 直线的方向向量应与所在两个平面的法向量都垂直,即 直线过点(1,1,1),从而参数方程为:

猜你喜欢

发表评论
更多 网友评论0 条评论)
暂无评论

Copyright © 2012-2014 恰考网 Inc. 保留所有权利。 Powered by tikuer.com

页面耗时0.0310秒, 内存占用1.01 MB, Cache:redis,访问数据库17次