—管径d=50mm的水管,在水温t=10C时,管内要保持层流的最大流速是:(10C时水的运动黏滞系数v=1. 31X10-6m2/S)A. 0. 21m/...

作者: rantiku 人气: - 评论: 0
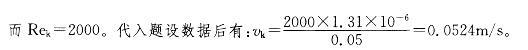
问题 —管径d=50mm的水管,在水温t=10C时,管内要保持层流的最大流速是:(10C时水的运动黏滞系数v=1. 31X10-6m2/S)
选项 A. 0. 21m/s B. 0.115m/s C. 0 .105m/s D. 0. 0525m/s
答案 D
解析
发表评论
更多 网友评论0 条评论)
暂无评论

Copyright © 2012-2014 恰考网 Inc. 保留所有权利。 Powered by tikuer.com

页面耗时0.0356秒, 内存占用1.03 MB, Cache:redis,访问数据库20次