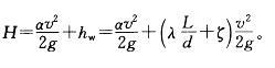
图示直径为20mm、长5m的管道自水池取水并泄入大气中,出口比水池水面低2m,已知沿程水头损失系数λ= 0. 02,进口局部水头损失系数ξ=0. 5,则泄...

作者: rantiku 人气: - 评论: 0
问题 图示直径为20mm、长5m的管道自水池取水并泄入大气中,出口比水池水面低2m,已知沿程水头损失系数λ= 0. 02,进口局部水头损失系数ξ=0. 5,则泄流量Q为多少l/s?
选项 A. 0. 88 B. 1. 90 C. 0. 77 D. 0. 39
答案 C
解析 提示 可按自由出流短管计算,

猜你喜欢

发表评论
更多 网友评论0 条评论)
暂无评论

Copyright © 2012-2014 恰考网 Inc. 保留所有权利。 Powered by tikuer.com

页面耗时0.0673秒, 内存占用1.03 MB, Cache:redis,访问数据库17次